Sika North Odumasi
Sika North Odumasi Area
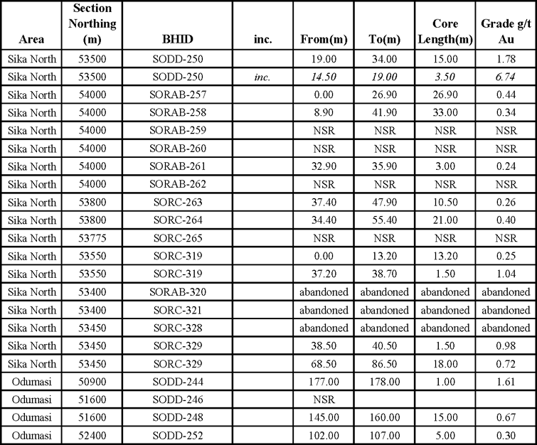
This area has had a limited amount of scout drilling along the northern most 4 kilometers of the FZ1 structure. Twenty-three holes totaling 2,788 metres have been completed of which 9 are diamond drill holes, 7 RC holes and 7 AirCore holes. The best result to date has been from drill hole SODD-250 with 15.0 metres core length at 1.78 g/t gold from 19 metres downhole, including an intercept of 3.50 metres averaging 6.74 g/t gold from 14.50 metres downhole. Mineralization is again hosted in sericite schists with pyrite and carbonate, hosted by mafic volcanic rocks.
A program of fence drilling with AirCore drilling is planned along the largely untested structure. Sika North Odumasi plan map, cross sections and Table of Results are provided below.


