Pokukrom
Pokukrom Area (East, West and West IP)
The Pokukrom East and West mineralization areas are located in the central-eastern portion of the Manfo Project. These prospects were included in the 2013 Manfo Resource Study.
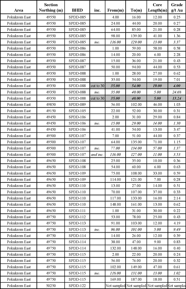
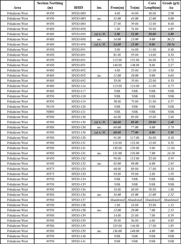
Since optioning the project in 2010, some 152 drill holes have been completed on the two areas, totalling 26,728 metres. The lion’s share of drilling has been completed at the Pokukrom East prospect, with 113 drill holes. 90 diamond drill holes totalling 19,773 meters were completed between September 2010 and April 2012 in advance of the Resource Study. An additional 12 RC holes totalling 795 metres, and 11 AirCore holes totalling 422 metres were completed in 2013-14. At the Pokukrom West prospect, 29 diamond drill holes were completed for 5,397 metres between 2010 and 2012. At the West IP prospect, 10 AirCore holes totalling 340 meters were completed in 2013. Drilling has been completed on a nominal 50 meter spacing.
A revised drilling program was undertaken during October 2017 – December 2017. Results may be reviewed in the Company’s news releases issued on May 2, 2018 and June 7, 2018.
Pokukrom East Mineralization
Pokukrom East mineralization lies in the Hanging wall of the west-dipping FZ1 fault. Mineralization is zoned from the hanging wall to footwall, with stockwork sericite-pyrite quartz-carbonate veining (10-40 meters thick) in the hanging wall grading to a ductile core (10-40meters thick) of massive sericite-pyrite quartz-carbonate alteration in the immediate hanging wall of the FZ1 fault. Gold is hosted within fine grained pyrite in the sericite alteration, and the best gold grades are coincident with the core alteration zone. In the southern portions of the deposit, a weak hematite alteration surrounds the sericite zones, which sericite alteration overprints. The core alteration has a shallow plunge to the north along the FZ1 fault, has a dip extent of 80-120 metres and a plunge extent of 800 metres. The mineralization is open down plunge. In the north hanging wall of the deposit and beneath the main lense additional mineralization has been encountered that requires follow-up drilling.
Pokukrom West Mineralization
Pokukrom West crops out 600 metres west of the Pokukrom East prospect and is hosted by a steep west dipping fault zone. Mineralization is similar in style to the Pokukrom core mineralization but has maximum widths of 5-25 metres and a strike length of 100-125 metres. Hematite alteration surrounds Pokukrom West mineralization. The mineralization is open down plunge.





