Nkansu
Nkansu Area
The Nkansu Area is located 2.5 kilometers to the south west of the Pokukrom East and West Prospects. The prospect was discovered in November 2011, after a single drill hole tested a 2 point, 40ppb (very weak) gold in soil anomaly, coincident with an interpreted structure from airborne magnetic data. The area is approximately 1100 meters north-south by 800 meters east-west. Nkansu is at a very early stage of exploration.
The prospect has seen a total of 39 drill holes totalling 3781 metres since November 2011, comprised of 9 diamond drill, 16 RC and 14 AirCore holes for 1891, 1319 and 571 metres, respectively.
A revised drilling program was undertaken during October 2017 – December 2017. Results may be reviewed in the Company’s news releases issued on May 2, 2018 and June 7, 2018.
Nkansu Mineralization
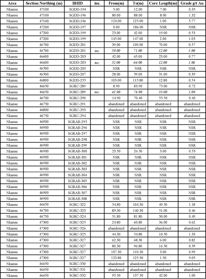
Nkansu mineralization is very similar to the core of Pokukrom East mineralization. In the south west portion, mineralization consists of essentially of massive quartz sericite-pyrite carbonate alteration with core lengths of 25-70 metres. Peak grades are lower in the zone, in the range of 0.8-1.2 g/t, however the drill stage is early. The mineralization lies in the hanging wall of a west dipping fault. Peripheral stockwork alteration is not observed. Best results to date are from drill hole SGRC-322 which intersected 49.5 metres at 1.18 g/t gold.
Approximately 400 metres north of this area, another 300-meter-long weak gold in soil anomaly has seen 5 holes completed. The best results to date are from drill holes SGRC-325, with 10.5 metres core length averaging 1.33 g/t gold from 44.3 metres down hole, and SGRC -327, with 1.05 g/t over 1.5 metres from 123.80 metres down hole.
Sections, Tables of results and a longitudinal section for Nkansu are given below.
Nkansu Mineralization



